Thinking兴勤插件测温热敏电阻TTC系列TTC05101JSY
Thinking兴勤插件测温热敏电阻TTC系列TTC05101JSY
产品价格:¥0.48(人民币)
  • 规格:完善
  • 发货地:广东东莞
  • 品牌:
  • 最小起订量:1
  • 免费会员
    会员级别:试用会员
    认证类型:企业认证
    企业证件:通过认证

    商铺名称:东莞晶品电子科技有限公司

    联系人:何小姐()

    联系手机:

    固定电话:

    企业邮箱:Linda@jpet.cn

    联系地址:广东省东莞市南城区黄金路天安数码城F1栋801

    邮编:

    联系我时,请说是在汽配名企网上看到的,谢谢!

    商品详情
      产品参数
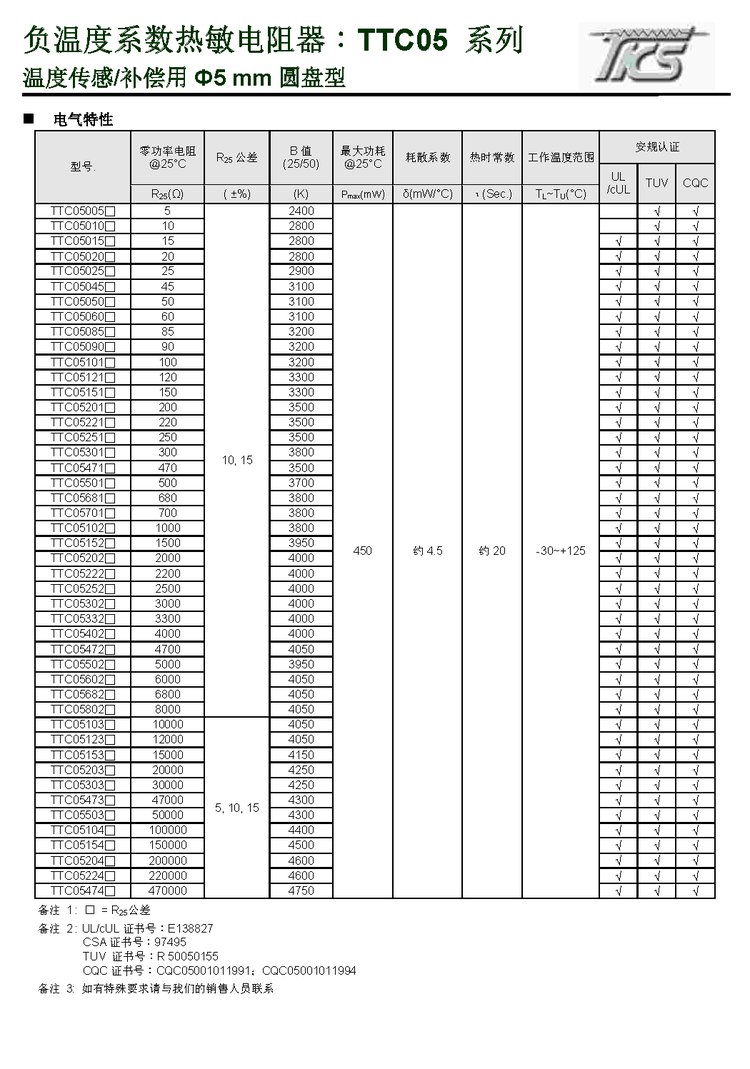
      品牌THINKING
      批号4859
      封装直脚
      包装散装
      最小包装量250
      阻值100Ω
      功率450mW
      偏差±3
      数量250
      可售卖地北京;天津;河北;山西;内蒙古;辽宁;吉林;黑龙江;上海;江苏;浙江;安徽;福建;江西;山东;河南;湖北;湖南;广东;广西;海南;重庆;四川;贵州;云南;西藏;陕西;甘肃;青海;宁夏;新疆
      型号TTC05101JSY























    0571-87774297