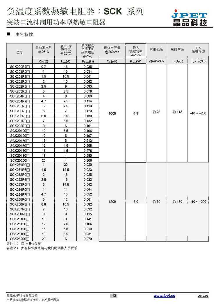
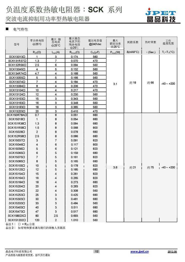
Thinking兴勤插件热敏电阻SCK系列SCK15105MSYSCK101201MSY
Thinking兴勤插件热敏电阻SCK系列SCK15105MSYSCK101201MSY
产品价格:¥0.68(人民币)
  • 规格:完善
  • 发货地:广东东莞
  • 品牌:
  • 最小起订量:1
  • 免费会员
    会员级别:试用会员
    认证类型:企业认证
    企业证件:通过认证

    商铺名称:东莞晶品电子科技有限公司

    联系人:何小姐()

    联系手机:

    固定电话:

    企业邮箱:Linda@jpet.cn

    联系地址:广东省东莞市南城区黄金路天安数码城F1栋801

    邮编:

    联系我时,请说是在汽配名企网上看到的,谢谢!

    商品详情
      产品参数
      品牌TKS兴勤
      封装插件
      加工定制
      种类热敏
      性能通用
      材料氧化膜
      制作工艺陶瓷绝缘功率型
      外形纽扣状
      允许偏差&plusmn
      10
      温度系数NTC
      额定功率0.5
      功率特性小功率
      频率特性低频
      产品性质热销
      标称阻值10
      是否跨境货源
      可售卖地北京;天津;河北;山西;内蒙古;辽宁;吉林;黑龙江;上海;江苏;浙江;安徽;福建;江西;山东;河南;湖北;湖南;广东;广西;海南;重庆;四川;贵州;云南;西藏;陕西;甘肃;青海;宁夏;新疆
      型号SCK15105MSY

      ?

      ?

      ?

      特点
      1. 满足RoHS和无卤的要求
      2. 本体尺寸:Ф5mm~ Ф30mm
      3. 径向引线树脂封装
      4. 高额定功率
      5. 宽阻值范围
      6. 低成本
      7. 工作温度范围
      Φ5mm:-40℃~ 150℃
      Φ8~Φ10mm:-40℃~ 170℃
      Φ13mm~Φ30mm:-40℃~ 200℃
      8. 安规认证:UL / cUL / TUV / CSA / CQC
      ?1?78?1?77 用途
      1. 开关型电源供应器
      2. 电子马达
      3. 变压器
      4. 适配器
      5. 放映机
      6. 卤素灯
      7. LED 驱动电路





















      仟渔旺铺//24626.qianyuwang.com/
    0571-87774297